Complex responseΒΆ

In this tutorial we will look at a simple example of using the complex polarization propagator (CPP) method in DIRAC. For more details on the implementation and the method, see [Villaume2010] and [Norman2011], respectively.

We consider the LiH molecule:

DIRAC
LiH (Exp. geometry from Herzberg R=1.5949 A)

C   2   0          A
        3.    1
Li      0.000000    0.000000   -0.398725
LARGE BASIS aug-cc-pVDZ
       1.     1
H       0.000000    0.000000    1.196175
LARGE BASIS aug-cc-pVDZ
FINISH

and generate the following menu file:

**DIRAC
.WAVE F
.PROPERTIES
**WAVE F
.SCF
**PROPERTIES
*LINEAR RESPONSE
.OPERATOR
 ZDIPLEN
.FREQ INTERVAL
0.13 0.16 0.002
.SKIPEP
**END OF

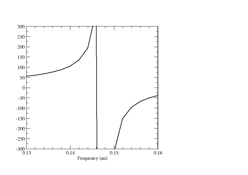
Here we ask for the frequency-dependent linear reponse function \(\left<\left<z;z\right>\right>_{\omega}\) in the frequency window 0.13 - 0.16 a.u. with a step length of 0.002 a.u., calculated at the Hartree-Fock level using the 4-component relativistic Dirac-Coulomb Hamiltonian. The negative of the above response function corresponds to the negative of the zz-component \(\alpha_{zz}\) of the dipole-dipole polarisability. Plotting the polarizability we obtain the graph below

RealResponse.png

We observe a singularity around \(\omega\) = 0.147 au, correspond to a dipole-allowed electronic transition. The presence of the singularity allows us to read of excitation energies from the dispersion (frequency-dependence) of the polarizability. However, it is an unphysical features and corresponds to an infinitesimal small linewidth in the electronic spectrum.

The unphysical feature can be removed by introducing lifetimes into the response functions. In practice a real frequency \(\omega\) is replaced by complex \(z=\omega + i\gamma\) where \(\gamma\) is a user-given parameter related to the inverse of the finite lifetimes of the excited states. Our input now looks like:

**DIRAC
.WAVE F
.PROPERTIES
**WAVE F
.SCF
**PROPERTIES
*LINEAR RESPONSE
.OPERATOR
 ZDIPLEN
.FREQ INTERVAL
0.13 0.16 0.002
.DAMPING
 0.005
.SKIPEP
**END OF

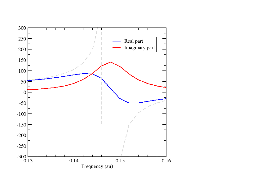
Here we set \(\gamma\) = 0.005 au, corresponding to 0.136057 eV. The linear response function now becomes complex. The real and imaginary parts of \(\alpha_{zz}\) are plotted below.

ComplexResponse.png